简介
高斯模糊(Gaussian Blur)是一种常用的图像处理技术,主要用于平滑图像、降低噪声,同时保留图像的整体结构。在 OpenCV-Python 中,可以使用 cv2.GaussianBlur() 函数实现高斯模糊。
高斯模糊的原理
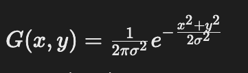
高斯模糊通过对图像应用高斯核(Gaussian Kernel)进行卷积操作来实现。高斯核是根据高斯函数生成的矩阵,其数学表达式为:
![图片[1]-OpenCV-Python快速入门系列28&29高斯模糊-天煜博客](https://blog.itianyu.cn/wp-content/uploads/2024/11/20241124202124712-image.png)
![图片[2]-OpenCV-Python快速入门系列28&29高斯模糊-天煜博客](https://blog.itianyu.cn/wp-content/uploads/2024/11/20241124202204192-image.png)
使用 OpenCV 实现高斯模糊
在 OpenCV 中,可以使用 cv2.GaussianBlur() 函数对图像进行高斯模糊处理。该函数的基本语法如下:
dst = cv2.GaussianBlur(src, ksize, sigmaX, dst=None, sigmaY=None, borderType=None)
src:输入图像。ksize:高斯核的大小,格式为(width, height),其中width和height可以不同,但都必须为正奇数。如果设为(0, 0),则根据sigmaX和sigmaY计算得到。sigmaX:X 方向的高斯核标准差。sigmaY:Y 方向的高斯核标准差。如果sigmaY设为 0,则与sigmaX相等。如果两者都为 0,则根据ksize计算得到。borderType:边界模式,用于推断图像边界外的像素值。默认值为cv2.BORDER_DEFAULT。
需要注意的是,ksize 的值必须为正奇数,如 (3, 3)、(5, 5) 等。
示例代码
import cv2
import numpy as np
# 读取图像
image = cv2.imread('path_to_image.jpg')
# 检查图像是否成功加载
if image is None:
print("图像加载失败,请检查路径是否正确。")
else:
# 应用高斯模糊
blurred_image = cv2.GaussianBlur(image, (5, 5), 0)
# 显示原始图像和模糊后的图像
cv2.imshow('Original Image', image)
cv2.imshow('Blurred Image', blurred_image)
# 等待按键事件
cv2.waitKey(0)
cv2.destroyAllWindows()
在上述代码中,cv2.GaussianBlur() 函数对输入图像 image 进行高斯模糊处理,使用的高斯核大小为 (5, 5),标准差为 0,表示由 OpenCV 根据核大小自动计算。
输出结果
![图片[3]-OpenCV-Python快速入门系列28&29高斯模糊-天煜博客](https://blog.itianyu.cn/wp-content/uploads/2024/11/20241124202535129-image.png)
高斯模糊的应用场景
- 去噪:高斯模糊可以有效地平滑图像,减少噪声,但不会像均值模糊那样引入明显的边缘效应。
- 图像平滑:通过高斯模糊,可以减少图像中的高频信息,使图像看起来更加柔和。
- 预处理:在进行边缘检测等操作前,使用高斯模糊可以减少噪声对结果的影响,提高检测的准确性。
通过调整高斯核的大小 (ksize, ksize) 和标准差(sigma),可以控制模糊的程度。较大的核和标准差会导致更强的模糊效果。
高斯双边模糊
简介
高斯双边模糊(Bilateral Gaussian Blur)是一种在平滑图像的同时保留边缘细节的滤波技术。与传统的高斯模糊不同,双边模糊不仅考虑空间距离,还结合像素值的相似性,从而在去除噪声的同时有效地保留图像的边缘信息。
原理
双边模糊结合了空间域和颜色域的信息。其权重由两个高斯函数的乘积决定:
- 空间域高斯函数:考虑像素之间的空间距离,距离越近,权重越大。
- 颜色域高斯函数:考虑像素值的差异,差异越小,权重越大。
通过这两个权重的结合,双边模糊在平滑图像的同时,能够保留边缘细节。
![图片[4]-OpenCV-Python快速入门系列28&29高斯模糊-天煜博客](https://blog.itianyu.cn/wp-content/uploads/2024/12/20241124203140272-image.png)
OpenCV 实现
在 OpenCV 中,可以使用 cv2.bilateralFilter() 函数实现高斯双边模糊。其基本语法如下:
dst = cv2.bilateralFilter(src, d, sigmaColor, sigmaSpace, borderType)
src:输入图像。d:每个像素邻域的直径。如果为非正数,则从sigmaSpace计算。sigmaColor:颜色空间的标准差,较大的值意味着更远的颜色会混合在一起。sigmaSpace:坐标空间的标准差,较大的值意味着更远的像素会相互影响。borderType:边界模式,默认为cv2.BORDER_DEFAULT。
示例代码
以下是使用 OpenCV-Python 实现高斯双边模糊的示例代码:
import cv2
import numpy as np
# 读取图像
image = cv2.imread('path_to_image.jpg')
# 检查图像是否成功加载
if image is None:
print("图像加载失败,请检查路径是否正确。")
else:
# 应用高斯双边模糊
blurred_image = cv2.bilateralFilter(image, d=15, sigmaColor=75, sigmaSpace=75)
# 显示原始图像和模糊后的图像
cv2.imshow('Original Image', image)
cv2.imshow('Bilateral Blurred Image', blurred_image)
# 等待按键事件
cv2.waitKey(0)
cv2.destroyAllWindows()
在上述代码中,cv2.bilateralFilter() 函数对输入图像 image 进行高斯双边模糊处理。参数 d 指定滤波时每个像素邻域的直径,sigmaColor 和 sigmaSpace 分别控制颜色空间和坐标空间的标准差。
应用场景
- 图像去噪:在保留边缘细节的同时,平滑图像,去除噪声。
- 图像增强:在图像处理和计算机视觉中,用于增强图像质量。
- 人脸磨皮:在人像处理中,双边模糊常用于磨皮效果,平滑皮肤纹理,同时保留面部特征。
通过调整 sigmaColor 和 sigmaSpace 的值,可以控制模糊的程度和边缘保留的效果。较大的 sigmaColor 会使颜色差异较大的像素也被平滑,而较大的 sigmaSpace 则会使距离较远的像素相互影响。
运行效果
人脸磨皮
![图片[5]-OpenCV-Python快速入门系列28&29高斯模糊-天煜博客](https://blog.itianyu.cn/wp-content/uploads/2024/12/20241124203613899-image.png)
本网站尊重知识产权,如有侵权,请及时联系我们删除。
本站所有原创内容仅用于学习和交流目的,未经作者和本站授权不得进行商业使用或盈利行为。












暂无评论内容